電子スペックルパターン干渉法(ESPI)による動的全視野計測

豊岡 了(埼玉大理工),冨永 学(茨城高専)

Dynamic and whole-field deformation measurement by Electronic Speckle Pattern Interferometry

SToyooka* and M.Tominaga**
*Saitama University
**Ibaraki Collage of Technology

Electronic Speckle Pattern Interferometry (ESPI) is a promising experimental techniques to investigate whole-field deformation analysis. The technique has been developed to make possible to observe dynamic feature of deformation. In this paper, a dual-beam, in-plane sensitive ESPI is applied to observe an entire process of tensile tests of Al-alloy samples. Moving features of strain localized bands (SLB) which propagate over the sample is precisely investigated. A quantitative phase analysis by addition-subtraction method is presented.

1. まえがき
 レーザ光で粗面を照射すると,粗面の各点で乱反射した光波が像面でランダムな位相関係で重ね合わせられることによって,スペックルパターンとよばれる独特の干渉模様が生じる.このスペックルパターンを参照光と重ね合わせると,やはりスペックルパターンが現れるが,これは物体が変形して個々のスペックルの干渉条件が変化すると,パターンの明暗が変化する.変形前後のスペックルパターンをCCD カメラで電子的に記録し,両者の差の絶対値をとると,変形による位相差が2π変化するごとに,差画像の明暗が1 周期変化する.このようにして,全視野にわたる変形の分布を,光波の2 π位相変化を単位とする等高線として描かせることができる.得られる縞パターンは,ホログラフィー干渉法によるものと等価で,光波長をものさしにした高精度全視野計測ができる.ホログラフィーと違って,CCD カメラとコンピュータさえあれば,すべてディジタル処理で結果が得られることから,電子スペックルパターン干渉法(ESPI)またはディジタルスペックルパターン干渉法(DSPI)とよばれる.ここで,ESPI の特徴を列挙すると,次のようになる.
(1) 高感度全視野計測,
(2) 非接触計測法であり,試験片に対する前処理は一切不要,
(3) 光学系の選択により,面外変形,面内変形,これらの空間微分などのバラエティがある.
このような特徴から,ESPI は微小変形や振動解析の新しい計測法として,期待が寄せられてきた1).近年のコンピュータ及び周辺技術の進歩は著しく,大量の画像データをメモリーに蓄え,またデータ間の演算を高速に行うことなどが比較的容易になった.Toyooka らおよびYoshida らは2-8),物体の変形に伴って刻々変化する干渉スペックルパターンを長時間にわたって連続的にコンピュータにとりこみ,差画像の計算を時系列的に行うことによって,時間微分の相関縞を得る方法を提案した.この方法で金属材料の引張試験の全過程を観察し,塑性変形過程で知られている局在する変形場(リューダース帯など)の詳細な動的挙動の計測に成功し,ひずみ脈動現象のような新しい現象の発見に至っている9).ここでは,面内変形測定系を例に,ESPI について説明し,アルミ合金試験片の引張試験における塑性変形過程の全視野時空間観察について報告する.さらに,相関縞の定量解析には位相シフト法のような解析法が望まれるが,従来法においては,参照位相をシフトする間物体は動くことができないことから,動的現象観察には使えない.ここでは,動的ESPI に適した位相解析法である和差法を提案し,ひずみ局在帯部の解析例を示す.

2. ESPI による塑性変形過程の全視野時空間観察
 面内変形測定のための光学系を図1に示す.この系では,参照光を別に用意するのではなく,物体を紙面内で対称な2方向からレーザ光で照射する配置になっている.CCD カメラの像面上の1 点では,両光路からの光,I1 ,I2 が重ね合わせられ,干渉スペックルパターンが形成される.板状試験片を仮定し,その面上にxy 座標をとる.物体の変形前後のスペックルパターンを記録するとして,2 回の記録の間の物体上の1 点の変形のx方向成分をu とし,2つの物体照明光の物体法線への角度を±αとすると,その間の位相差は
    (1)
で与えられる.ここで,変形のy成分およびz成分は光学系の対称性より位相差に寄与しない.差画像の相関縞は(1)式のδが2π変化するごとに明暗が1周期変化する.
 物体が連続的に変形する場合は,図の光学系で時系列的に順にスペックルパターンを撮像し,コンピュータのメモリーに蓄えられたフレームデータを一定間隔ごとに差を計算すればよい.刻々変化する干渉スペックルを1フレーム/秒でサンプリングし,その場で差を計算し,実時間で変形パターンをモニターした.同時に,30 フレーム/秒でサンプリングし,後に差画像を計算して時間的に細かく観察することもできるようにした.
 次に,アルミ合金A2017 平板試験片実験の引張試験をESPI で観察した結果を示す.試験片は,有効長100mm ,幅30mm ,厚さ5mm のダンベル型平板で,450 ℃雰囲気に1時間放置した後炉冷したものである.この試験片の両端をピンで支え,下側ピンを固定し,上側ピンを一定の速度で上方に引っ張った.引張速度0.5mm/sで引っ張った時の試験開始から破断までの応力の時間変化を図2に示す.ここで縦軸はロードセルで測定した荷重を試験前の断面積で割って得た公称応力である.降伏点を過ぎると,応力の増加率は減少し,(2)あたりから曲線にギザギザがのってくる.これは,アルミ合金などに典型的に見られる現象で,Portevin LeChatelier (PLC)効果として知られている.(7)か
ら(8)にかけて最大応力(22Mpa )に達し,その後試験片にくびれが生じて,38000 秒を超えたところで破断した.
 次に,ESPI の観察結果について述べる.図3の縞パターンは,時間差4 秒離れた2 枚の干渉スペックルの差画像で,これらの縞は引っ張り方向の変形成分の等高線で,α=45°, λ=532nm より,1フリンジあたりの変形量は376nm である.これらの縞の変化は,静止画でみると複雑で多様であるが,動画でみると変化のプロセスがよくわかる.図の9枚の写真は左から図2の番号に対応して順番にならべた.(1)は弾性変形域で一様変形が起こっていることを示している.(2)では中央上部に縞が集中していき,やがて右上がりに約45 °傾いた帯部が現れる.これはひずみ局在帯(SLB)で,帯部は下から上に,ほぼ一定の速度で移動し,このような過程がくりかえされる.(3)のように,SLBが2 箇所現れることもある.規則的な縦縞は,2 つのSLB で挟まれた領域が剛体回転していることを示している.(4)は塑性変形過程前半で典型的にみられる縞パターンである.中央下方に斜め右上がりに縞構造が消滅した部分は,ひずみが極端に集中したために,スペックル相関が失われている.帯部の上下には細かい縞が現れているが,これらは帯部の極端な変形を補正するために全体的に収縮していることを表わしている.このような縞変化は,時間的には縞密度変化の1周期のなかの短い時間で激しく起こり,この直後には(5)または(6)に示すような緩やかな変化に復帰する.このような過程を繰り返しながら,帯部は上方に移動し,消滅と発生を繰り返す.縞パターンの変化は(5)以降においては少し様子が異なる.もはや(5)のような激しい変化は見られず,比較的ゆるやかな帯部の縞密度の変化と帯部の移動が見られる.注目すべきこととして,後期過程においては,帯部の向きの変化,すなわち右上がりの帯部が右下がりにスイッチする現象,がしばしば観察された.(7)および(8)はスイッチングの途中経過を示すパターンである.また,帯部の移動方向の反転も,後期過程にしばしば観察された.このような過程を繰り返しながら,帯部の移動速度は序々に減少し,(9)以降では試験片のほぼ中央付近に静止し,そこで破断した.

3.和 差法による精密位相解析
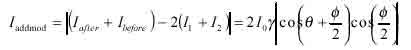
 ESPI 縞パターンの位相解析は,位相シフト法によるのが一般的である.しかし,本研究のように動的現象を対象とする場合は,従来の方法は使えない.何故なら,位相シフト法においては,参照光の位相を3段階以上シフトする必要があるが,その間対象物体は静止していなければならない.これに対して,Yoshida らが提案した和差法は,2 枚の干渉スペックルパターンの差のみならず和を計算することで,付加的なデータ無しに位相を決定することができる.ただし,強度和を計算するときは,バイアス強度を差し引いてやる必要がある.以下のそのプロセスを記述する.図1の光学系において,始めにシャッターS2 を閉じてI1 のみを,またシャッターS1 を閉じてI2 のみをCCD カメラで記録する.次に,変形にともない刻々変化するスペックルパターンの相関縞を得
る2枚の干渉スペックルパターンの強度分布をそれぞれ Ibefore, Iafter と書くことにする.
    (2)
    (3)
ここで,θは2光路の差によるランダムなスペックル位相,φは変形による位相変化,I0=I1+I2,γは可視度である.これら2式の比を計算すると,次式により,変形による位相変化が求められる.
    (4)
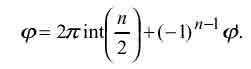
ここで,<>は後述の平滑化フィルタによるアンサンブル平均の意味である.通常の位相シフト法とは異なり,逆正接の引数の分母分子の符号は一般に決定できないことから,得られる位相値は図4に示すように,0 とπの間で三角波にそった値をとる.図の4つのArea-1,2,はそれぞれ,単位円を4分する象限である.実曲線と点曲線はそれぞれIbefore,およびIafter ,折れ線が(4)式から求めた位相分布,実直線がアンラップした位相分布である.π,2π,3πにおける折れ点を見出すことができれば,折りたたまれた位相φ$B$+$i    (5)
現実の相関縞は背景としてのスペックルノイズに埋もれており,三角波のピークを見出すことは容易ではない.ノイズ対策として,実験では,和画像および差画像にガウス型フィルタをかけ,ノイズを平滑化した.その上で逆正接を計算し,得られた折りたたみデータに対して(5)式のアンラッピングを施した.
 2節で述べたと同じアルミ合金A2017試験片の引張実験において得られたデータを和差法で位相解析した結果を相関縞とともに図4に示す.縞が密集した局在変形部に対応してステップ状の変形が定量化されていることがわかる.解析精度は,スペックルのコントラストとガウシアンフィルタのサイズなどに依存し,本実験では数十mm と推定される.

4.むすび
 ESPI による動的変形過程の観察および定量解析の方法を提案した.アルミ合金A2017 試験片の引張試験の全過程についての全視野連続観察を行った.塑性変形過程では,応力曲線におけるセレーションに対応して,局在するひずみ帯がひずみ速度の脈動を伴って進展することが明らかにされた.また,和差法による高精度位相解析を行い,LSBの近傍のステップ状のひずみ変化を数十mmの精度で定量化することができた.

参考文献
1) R.S.Sirohi, Speckle Methods in Esperimental Mechanics, Speckle Metrology, ed.R.S.Sirohi, Marcel Dekker, New York (1993).
2) S.Toyooka and X.L.Gong, Digital speckle pattern interferometry for observing the Entire process of plastic deformation of a solid object, Jpn.J.Appl.Phys., 34, L1666-L1668 (1995).
3) S.Yoshida, Suprapedi, Rini Widiastuti, M.Pardede, and A.Kusnovo, Direct observation of plastic deformation and its application to nondestructive testing, Jpn.J.Appl.Phys., 35, L1854-L857 (1996).
4) Suprapedi and S.Toyooka, Time-division observation of plastic deformation process using digital speckle pattern interferometry, Optical Review, 4, 284-287 (1997).
5) Suprapedi and S.Toyooka, Spatio-temporal observation of plastic deformation and fracture by laser speckle interferometry, Physical Mesomechanics, 1, 51-56 (1998).
6) X.L.Gong and S.Toyooka, Investigation of mechanism of plastic deformation process using digital speckle pattern interferometry, Exp.Mech., 39, 25-29 (1999).
7) Q.C.Zhang, S.Toyooka, Z.Meng, and Suprapedi, Investigation of slipband propagation in aluminum alloy with dynamic speckle interferometry, Proc. SPIE Vol.3585, 389-398, (1999).
8) S.Yoshida, Muchiar, I.Muhamad, Rini Widiastuti, and A.Kusnovo, Optical Interferometric technique for deformation analysis, Optics Express, 2, 516-530, (1998).
9) S.Toyooka, Rini Widiastuti, Q.C.Zhang, and H.Kato, Dynamic Observation of Localized Strain Pulsation Generated in the Plastic Deformation Process by Electronic Speckle Pattern Interferometry, Jpn.J.Appl.Phys., 40, pp.873-876 (2001).


Fig.1 Experimental setup of ESPI which is sensitive to in-plane deformation component


Fig.2 Stress curve for the A2017 specimen


Fig.3 Fringe patterns representing different states of the test specimen


Fig.4 Correlation fringes (a) and phase map (b) analyzed by addition and subtraction method


Last Updated July 13, 2001